69 《九章算術》
「算經之首」
我國數學史上有一部堪與歐幾里得《幾何原本》媲美的書,這就是歷來被尊為算經之首的《九章算術》。它是我國現存最早的數學專著,其傳本包括《九章算術》本文、曹魏劉徽注、唐初李淳風等註釋三部分內容。
《九章算術》集先秦至西漢我國數學知識之大成,其編纂也是集體勞動的成果。根據劉徽的記載,《九章算術》是從先秦「九數」發展來的。暴秦焚書,經術散壞。西漢張蒼(?—前152年)、耿壽昌(前1世紀)收集遺文殘稿,加以刪補整理,編成《九章算術》。
《九章算術》包括了近百條一般性的抽像公式、解法,246個應用問題,分屬方田、粟米、衰分、少廣、商功、均輸、盈不足、方程、勾股九章。
方田章提出了各種多邊形、圓、弓形等的面積公式;分數的通分、約分和加減乘除四則運算的完整法則。後者比歐洲早1400多年。
粟米章提出比例算法,稱為今有術;衰分章提出比例分配法則,稱為衰分術;商功章除給出了各種立體體積公式外,還有工程分配方法;均輸章用衰分術解決賦役的合理負擔問題。今有術、衰分術及其應用方法,構成了包括今天正、反比例、比例分配、復比例、連鎖比例在內的整套比例理論。西方直到15世紀末以後才形成類似的全套方法。
少廣章介紹了開平方、開立方的方法,其程序與現今程序基本一致。這是世界上最早的多位數和分數開方法則。它奠定了我國在高次方程數值解法方面長期領先世界的基礎。
盈不足章提出了盈不足、盈適足和不足適足、兩盈和兩不足三種類型的盈虧問題,以及若干可以通過兩次假設化為盈不足問題的一般問題的解法。這也是處於世界領先地位的成果,傳到西方後,影響極大。
方程章採用分離係數的方法表示線性方程組,相當於現在的矩陣;解線性方程組時使用的直除法,與矩陣的初等變換一致。這是世界上最早的完整的線性方程組的解法。在西方,直到17世紀才由萊布尼茲提出完整的線性方程的解法法則。這一章還引進和使用了負數,並提出了正負術——正負數的加減法則,與現今代數中法則完全相同;解線性方程組時實際還施行了正負數的乘除法。這是世界數學史上一項重大的成就,第一次突破了正數的範圍,擴展了數系。外國則到7世紀印度的婆羅摩及多才認識負數。
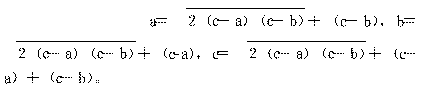
勾股章提出了勾股數問題的通解公式:若a、b、c分別是勾股形的勾、股、弦,則

m>n。在西方,畢達哥拉斯、歐幾里得等僅得到了這個公式的幾種特殊情況,直到3世紀的丟番圖才取得相近的結果,這已比《九章算術》晚約3個世紀了。勾股章還有些內容,在西方卻還是近代的事。例如勾股章最後一題給出了這樣一組公式:

這在國外到19世紀末才由美國的數論學家迪克森得出。
《九章算術》確定了中國古代數學的框架,以計算為中心的特點,密切聯繫實際,以解決人們生產、生活中的數學問題為目的的風格。其影響之深,以致以後我國數學著作大體採取兩種形式:或為之作注,或仿其體例著書;甚至西算傳入中國之後,人們著書立說時還常常把包括西算在內的數學知識納入「九章」的框架。
然而,《九章算術》亦有其不容忽視的缺點:沒有任何數學概念的定義,也沒有給出任何推導和證明。魏景元四年(263年),劉徽給《九章算術》作注,才大大彌補了這個缺陷。
劉徽是我國也是世界歷史上最偉大的數學家之一。遺憾的是,他的生平我們現在知之甚少。據考證,他是山東鄒平人。劉徽定義了若干數學概念,全面論證了《九章算術》的公式解法,提出了許多重要的思想、方法和命題,他在數學理論方面成績斐然。
劉徽對數學概念的定義抽像而嚴謹。他揭示了概念的本質,基本符合現代邏輯學和數學對概念定義的要求。而且他使用概念時亦保持了其同一性。如他提出「凡數相與者謂之率」,把「率」定義為數量的相互關係。又如他把正負數定義為「今兩算得失相反,要令正負以名之」,擺脫了正為余,負為欠的原始觀念,從本質上揭示了正負數得失相反的相對關係。
《九章算術》的算法儘管抽像,但相互關係不明顯,顯得零亂。劉徽大大發展深化了中算中久已使用的率概念和齊同原理,把它們看作運算的綱紀。許多問題,只要找出其中的各種率關係,通過「乘以散之,約以聚之,齊同以通之」,都可以歸結為今有術求解。
一平面(或立體)圖形經過平移或旋轉,其面積(或體積)不變。把一個平面(或立體)圖形分解成若幹部分,各部分面積(或體積)之和與原圖形面積(或體積)相等。基於這兩條不言自明的前提的出入相補原理,是我國古代數學進行幾何推演和證明時最常用的原理。劉徽發展了出入相補原理,成功地證明了許多面積、體積以及可以化為面積、體積問題的勾股、開方的公式和算法的正確性。
在數學證明中成功地運用無窮小分割和極限思想,是劉徽最傑出的貢獻。
《九章算術》提出圓面積公式S=l/2·r(S為圓面積,l為圓周長,r為半徑)。為證明這個公式,劉徽從圓內接正六邊形S6(稱為六觚)開始割圓,依次得圓內接正十二邊形S12,圓內接正二十四邊形S24,……S6·2的n次方……所有S6·2的n次方<S,但「割之彌細,所失彌少。割之又割,以至於不可割,則與圓周合體而無所失矣。」這相當於:

然後他證明

而

。於是劉徽就把圓化為與之合體的內接正多邊形來求面積,再把這個正多邊形分割成以每邊為底以圓心為頂點的無窮多個小三角形之和,所謂「觚而裁之,每輒自倍。
故以半周乘半徑而為圓冪」。從明證明了S=l/2·r。劉批評了以往「圓徑一而週三」的錯誤,指出此公式中周徑是「至然之數」,即圓周率π。他以此公式為基礎,求出了π的兩個近似值157/20和3927/1250,在中國首次創立了求圓周率的科學方法,奠定了我國圓周率研究在世界長期領先的基礎。
劉徽注關於體積問題的論述已經接觸到現代體積理論的核心問題,指出四面體體積的解決是多面體體積理論的關鍵,而用有限分割和棋驗法無法解決其體積。為了解決這個問題,他提出了一個重要原理「邪解塹堵,其一為陽馬,一為鱉臑。
陽馬居二,鱉臑居一,不易之率也」,今稱為劉徽原理。劉徽平分塹堵的長、寬、高,通過出入相補,可以證明在塹堵的3/4中上述原理成立;而剩餘的1/4與原塹堵的結構相同,可以重複上述分割,又可以證明其3/4中這個原理成立。這個過程可以無限繼續下去,「半之彌少,其餘彌細。至細曰微,微則無形。由是言之,安取余哉?」完成了該原理的證明。由塹堵的體積公式v=1/2abh,便證明《九章算術》提出的陽馬體積公式v=1/3abh,鱉臑的體積公式v=1/6abh。近代數學大師高斯、希爾伯特才討論這個問題,已是近100多年以來的事。
劉徽注多方面表述了今天稱之為祖曬之原理的命題,並由此證明了《九章算術》中球體積公式的錯誤。他設計了牟合方蓋,指出球與牟合方蓋的體積之比是π︰4,只要求出後者的體積就可以求出球體積了。他儘管沒能求出牟合方蓋的體積,但誠懇地表示「以俟能言者」,表現出一位偉大學者的坦蕩胸懷。這個問題後來由祖沖之父子徹底解決,李淳風註釋《九章算術》時詳細記述了祖氏的方法。
劉徽注中還有不少有價值的成就。如對開方不盡,提出繼續開方,求其「微數」,以十進分數逼近無理根,開十進小數之先河;他還認識到不定方程有無窮多組解,等等。劉徽注形成了一套數學體系,他說「事類相推,各有攸歸,故枝條雖分而同本干知,發其一端而已。」把數學看作一株枝條雖然分開但本干相同的大樹。他認為數學是「規矩」與「度量」亦即空間形式與數量關係的統一。基於這些深刻的認識,他的證明除個別失誤外,都論點明確,論據充分,條理清晰,推理嚴謹;而且大都使用演繹推理,沒有循環論證。是嚴格的數學證明。有了劉徽的證明。《九章算術》的公式解法,才建立在真實可靠的基礎上。
《九章算術》及其劉徽注,以傑出的數學成就,獨特的數學體系。不僅對東方數學,而且對整個世界數學的發展產生了深遠的影響,在科學史上佔有極為重要的地位。它的出現,標誌著從公元前1世紀開始,中國取代古希臘成為世界數學的中心,為此後中國數學領先世界1500多年奠定了基礎。今天,隨著計算機的出現和發展,它所蘊含的算法和程序化思想,仍給數學家以啟迪。吳文俊先生指出「《九章》所蘊含的思想影響,必將日益顯著,在下一世紀中凌駕於《原本》思想體系之上,不僅不無可能,甚至說是殆成定局,本人認為也絕非過甚妄測之辭。」
------------------
一鳴掃瞄,雪兒校對
|